喜报|音乐学院在第二届川渝师范生技能大赛中取得佳绩
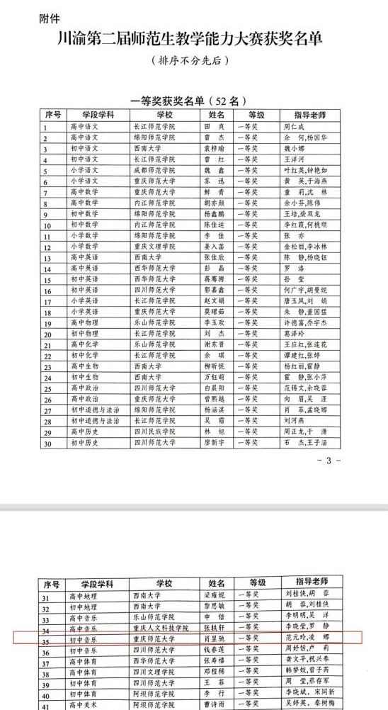
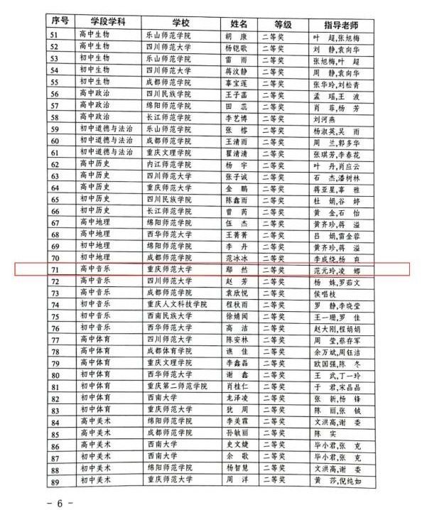
近期,由重庆市教育委员会、四川省教育厅主办,长江师范学院、四川师范大学承办的第二届川渝师范生技能大赛落下帷幕。经组委会审定,评选出一等奖52名、二等奖103名、三等奖159名。其中M88音乐学院2021级音乐学(教师教育)专业学生肖昱驰荣获一等奖、2020级音乐学(教师教育)专业学生鄢然荣获二等奖,M88音乐学院教师范元玲、凌娜荣获“优秀指导教师”称号。


三尺讲台育桃李,冰心一片化师魂。为进一步培养M88音乐学院师范生教育教学的能力,提升师范生技能,音乐学院推选了2020级鄢然、2021级肖昱驰两位师范专业同学参加“第二届川渝师范生技能大赛”初赛选拔。9月初赛阶段,两位同学和老师们一起准备课题,设计教学过程、撰写教案并进行反复的磨课练习,期间范元玲老师对两位同学的教姿教态、教学语言、PPT设计等方面进行细致的指导,协助配课的同学也提出了宝贵的建议。初赛通过说课、10分钟模拟授课的形式,两位同学均入围决赛。


10月决赛阶段,根据组委会的出题要求完成了五个课题的教学内容。有了初赛的经验,两位同学分别设计了5堂初中音乐课、高中音乐课,2位老师悉心指导,精心打磨。决赛除模拟授课外,增加了3分钟即兴演讲、2分钟答辩两个环节,两位同学把2022年初中音乐、高中音乐新课标的内容熟记于心。从初赛到决赛短短3个月的备赛时间,共同呈现了12堂音乐课,到最终在长江师范学院的呈现。她们通过自己的努力和扎实的专业基本功、教育基本功,为音乐师范教育争光,为美育事业贡献自己的力量,展现了M88音乐学院音乐师范生的风采和实力。


M88音乐学院获奖师生也将珍惜荣誉,再接再厉,不断提升教学能力水平,增强传道授业解惑本领,努力成为党和人民满意的“四有”好老师。为培养德智体美劳全面发展的社会主义建设者和接班人贡献力量。M88音乐学院也将继续以培养音乐舞蹈教育师资和复合型表演人才为目标,秉承“明德志道,知乐和声”的院训,坚持教学立院、学科强院、制度理院、和谐兴院的办学理念,努力为教育高质量发展做出更大贡献!
来源:音乐学院
时间:2023年12月13日